Einbindung PV-Thermie
Re: Einbindung PV-Thermie
Gibt es ein Elwa Nutzer, der das Smartdevice elwa testen könnten ?
-> kann ich gerne machen, was muss ich tun?
Nachfrage: Ist die „Einspeiseleistung, welche aktuell nicht in den Speicher aufgenommen werden kann >=x%“ bereits in der aktuelle Implementierung berücksichtigt? Habe eine 7,8kwp, da kommt schon mal öfters vor dass der Speicher mit 3000w lädt und 2500watt ins Netz gespeist werden, weil der DC Wandler des Speichers eben nur 3k in die Akkus schieben kann. Zusätzlich eine SoC Bedingung wäre zwar toll damit der Speicher bspw nicht immer erst bei 100% geladen rumsteht und dann erst die Elwa startet, aber noch besser wäre die Schaltkombination:
Einspeiseleistung die nicht in den Speicher geht >=x Watt und Speicher-SOC <=y %, wobei bei erreichen Speicher SOC y% die Ladung des Speichern unterbrochen und die gesamte Einspeisung ins die Elwa geht.
Das würde die Elwa jederzeit auch bei kleinstem Speicher-Soc starten sofern mehr Strom da ist als der Speicher aufnehmen kann. Auch kann man den Speicher schonen und die Speicherladung bspw auf 95% begrenzen, somit „volles Rohr“ die nun überschüssige Energie in die Elwa schieben.
Weiter gilt Prio
Auto
Speicher
Elwa
Was meint ihr, sinnvoll und implementierbar?
-> kann ich gerne machen, was muss ich tun?
Nachfrage: Ist die „Einspeiseleistung, welche aktuell nicht in den Speicher aufgenommen werden kann >=x%“ bereits in der aktuelle Implementierung berücksichtigt? Habe eine 7,8kwp, da kommt schon mal öfters vor dass der Speicher mit 3000w lädt und 2500watt ins Netz gespeist werden, weil der DC Wandler des Speichers eben nur 3k in die Akkus schieben kann. Zusätzlich eine SoC Bedingung wäre zwar toll damit der Speicher bspw nicht immer erst bei 100% geladen rumsteht und dann erst die Elwa startet, aber noch besser wäre die Schaltkombination:
Einspeiseleistung die nicht in den Speicher geht >=x Watt und Speicher-SOC <=y %, wobei bei erreichen Speicher SOC y% die Ladung des Speichern unterbrochen und die gesamte Einspeisung ins die Elwa geht.
Das würde die Elwa jederzeit auch bei kleinstem Speicher-Soc starten sofern mehr Strom da ist als der Speicher aufnehmen kann. Auch kann man den Speicher schonen und die Speicherladung bspw auf 95% begrenzen, somit „volles Rohr“ die nun überschüssige Energie in die Elwa schieben.
Weiter gilt Prio
Auto
Speicher
Elwa
Was meint ihr, sinnvoll und implementierbar?
Re: Einbindung PV-Thermie
Habe die ganze Zeit auf genug Sonne gewartet dass der Speicher voll wir und noch was für den ELWA übrig ist, aber dann aktiviere ich den ELWA jetzt einfach mal in openWB und warte ab. Vorhersage ist leider nicht so toll aber mal sehen.
Mit Speicher Prio könnte ich den Test eher mal nebenbei laufen lassen ohne schauen zu müssen ob auch der Hausspeicher voll wird
Dazu muss ich einfach auf die neuste Beta updaten, Typ pyt, Gerät elwa und das wars oder?
Anschließend das log von der Ramdisk lesen, komme ich da per Browser hin oder nur mit Putty?
@ Limpel: definitiv sinnvoll, aber hört sich bedeutend aufwendiger an als nur einen Einschalt-SOC zu implementieren, da zwischen "Speicher-Überschuss" und "EVU-Überschuss" unterschieden werden muss. Und alles ja möglichst modular für beliebige Smart-Home Geräte sein soll.
Ob umsetzbar müssen die Programmierer sagen, nice to have wäre es auf jeden Fall
Einschalt-SoC würde aber zumindest den Usecase "Lade bis maximal 90%" abdecken, da ja ab dann alles in die ELWA geht.
Lg
Mit Speicher Prio könnte ich den Test eher mal nebenbei laufen lassen ohne schauen zu müssen ob auch der Hausspeicher voll wird
Dazu muss ich einfach auf die neuste Beta updaten, Typ pyt, Gerät elwa und das wars oder?
Anschließend das log von der Ramdisk lesen, komme ich da per Browser hin oder nur mit Putty?
@ Limpel: definitiv sinnvoll, aber hört sich bedeutend aufwendiger an als nur einen Einschalt-SOC zu implementieren, da zwischen "Speicher-Überschuss" und "EVU-Überschuss" unterschieden werden muss. Und alles ja möglichst modular für beliebige Smart-Home Geräte sein soll.
Ob umsetzbar müssen die Programmierer sagen, nice to have wäre es auf jeden Fall
Einschalt-SoC würde aber zumindest den Usecase "Lade bis maximal 90%" abdecken, da ja ab dann alles in die ELWA geht.
Lg
Re: Einbindung PV-Thermie
Habe mir gerade die 1.8.408Nightly installiert und wollte den ELWA unter Beta! -> SmartHome einstellen, aber der Speicher Button war ausgegraut, daher konnte ich die Eingaben nicht übernehmen.
Dafür habe ich gesehen dass bereits ein Einschalt-SoC definiert ist?!
Zuletzt geändert von liZErd am Sa Okt 10, 2020 4:44 pm, insgesamt 1-mal geändert.
-
okaegi
- Beiträge: 2450
- Registriert: Fr Mär 08, 2019 1:57 pm
- Has thanked: 2 times
- Been thanked: 33 times
Re: Einbindung PV-Thermie
Also unter smarthome 2.0 ein device mit namen Elwa und typ = pyt anlegen.
Was bereits laufen sollte :
Elwa bekommt den Überschuss und braucht diesen. Hier solltest du im elwa log auf der Ramdisk die Ansteuerung über modbus nachvollziehen können.
Was als nächstes kommt:
Neu kann pro device ein
Speicherbeachtung beim Einschalten (soc) definiert werden.
Das funktioniert dann so, dass das device erst angesteuert wird, wenn der Speicher soc grösser gleich den definierten Wert ist
Wenn die beiden obigen Punkte laufen ist als nächstes die Priorisierung Smarthome / Autoladen dran. Wahrscheinlich gibt es im Smarthome dann die option "Ladelasteistung beachten" (d.h da würde dann der Überschuss als Überschuss weniger ladeleistung gerechnet).
Wie wir den anderen Fall hinkriegen haben wir noch nicht besprochen (Speicher lädt mit Volldampf und es wird überschuss eingespest).
Gruss Oliver
Elwa bekommt den Überschuss und braucht diesen. Hier solltest du im elwa log auf der Ramdisk die Ansteuerung über modbus nachvollziehen können.
Was als nächstes kommt:
Neu kann pro device ein
Speicherbeachtung beim Einschalten (soc) definiert werden.
Das funktioniert dann so, dass das device erst angesteuert wird, wenn der Speicher soc grösser gleich den definierten Wert ist
Wenn die beiden obigen Punkte laufen ist als nächstes die Priorisierung Smarthome / Autoladen dran. Wahrscheinlich gibt es im Smarthome dann die option "Ladelasteistung beachten" (d.h da würde dann der Überschuss als Überschuss weniger ladeleistung gerechnet).
Wie wir den anderen Fall hinkriegen haben wir noch nicht besprochen (Speicher lädt mit Volldampf und es wird überschuss eingespest).
Gruss Oliver
Zuletzt geändert von okaegi am Sa Okt 10, 2020 5:02 pm, insgesamt 1-mal geändert.
Entwickler- openWB (ehrenamtlich) / Feedback zu Funktionen immer erwünscht..
Smarthomeprobleme siehe hier (update
): viewtopic.php?f=14&t=5923
Smarthomeprobleme siehe hier (update
-
okaegi
- Beiträge: 2450
- Registriert: Fr Mär 08, 2019 1:57 pm
- Has thanked: 2 times
- Been thanked: 33 times
Re: Einbindung PV-Thermie
smarthome 2.0 unter einstellungen nehmen.
Einschalt soc ist grad im test, hoffe morgen auf etwas Sonne.
Gruss Oliver
Einschalt soc ist grad im test, hoffe morgen auf etwas Sonne.
Gruss Oliver
Entwickler- openWB (ehrenamtlich) / Feedback zu Funktionen immer erwünscht..
Smarthomeprobleme siehe hier (update
): viewtopic.php?f=14&t=5923
Smarthomeprobleme siehe hier (update
Re: Einbindung PV-Thermie
Unter Einstellungen -> Smart Home 2.0 zeigt es mir den Gerätetyp Pyt nicht an:
Version ist definitiv die neuste1.8.408Nightly
EDIT: Browser Cache geleert, jetzt wird es angezeigt.
Verbindung zwischen ELWA und openWB scheint zu stehen, ELWA zeigt Status "Modbus Read received" an.
Jetzt muss nur noch Sonne kommen.
PS: wie komme ich an das Log, per Browser oder Putty?
EDIT: Browser Cache geleert, jetzt wird es angezeigt.
Verbindung zwischen ELWA und openWB scheint zu stehen, ELWA zeigt Status "Modbus Read received" an.
Jetzt muss nur noch Sonne kommen.
PS: wie komme ich an das Log, per Browser oder Putty?
Zuletzt geändert von liZErd am Sa Okt 10, 2020 4:58 pm, insgesamt 1-mal geändert.
-
okaegi
- Beiträge: 2450
- Registriert: Fr Mär 08, 2019 1:57 pm
- Has thanked: 2 times
- Been thanked: 33 times
Re: Einbindung PV-Thermie
Du kannst im browser direkt auf die Ramdisk zugreifen
192.168.1.240/openWB/ramdisk/
Gruss Oliver
192.168.1.240/openWB/ramdisk/
Gruss Oliver
Entwickler- openWB (ehrenamtlich) / Feedback zu Funktionen immer erwünscht..
Smarthomeprobleme siehe hier (update
): viewtopic.php?f=14&t=5923
Smarthomeprobleme siehe hier (update
Re: Einbindung PV-Thermie
Hallo Oliver,
jetzt passt es, hab den Cache gelöscht, konnte das Smart Home Device einstellen und der ELWA empfängt offenbar etwas über Modbus. Jetzt hoffe ich dass morgen etwas Überschuss da ist, dann schicke ich abends das log.
In der ELWA ist dazu unter Steuerung "Modbus TCP" eingestellt, IP von der openWB füllt es automatisch aus sobald eine Modbus TCP Anfrage kommt.
Danke für die Erklärungen und für die Implementierung!
Lg und einen schönen Abend,
Bastian
jetzt passt es, hab den Cache gelöscht, konnte das Smart Home Device einstellen und der ELWA empfängt offenbar etwas über Modbus. Jetzt hoffe ich dass morgen etwas Überschuss da ist, dann schicke ich abends das log.
In der ELWA ist dazu unter Steuerung "Modbus TCP" eingestellt, IP von der openWB füllt es automatisch aus sobald eine Modbus TCP Anfrage kommt.
Danke für die Erklärungen und für die Implementierung!
Lg und einen schönen Abend,
Bastian
Re: Einbindung PV-Thermie
Sagt Bescheid wenn ihr euch beraten habt. Danke wie immer für eure Mühen, es ist toll zu sehen wie wünsche aufgenommen werden. Ich teste ebenso gerne für euchokaegi hat geschrieben: Sa Okt 10, 2020 4:43 pm
Wie wir den anderen Fall hinkriegen haben wir noch nicht besprochen (Speicher lädt mit Volldampf und es wird überschuss eingespest).
Gruss Oliver
-
okaegi
- Beiträge: 2450
- Registriert: Fr Mär 08, 2019 1:57 pm
- Has thanked: 2 times
- Been thanked: 33 times
Re: Einbindung PV-Thermie
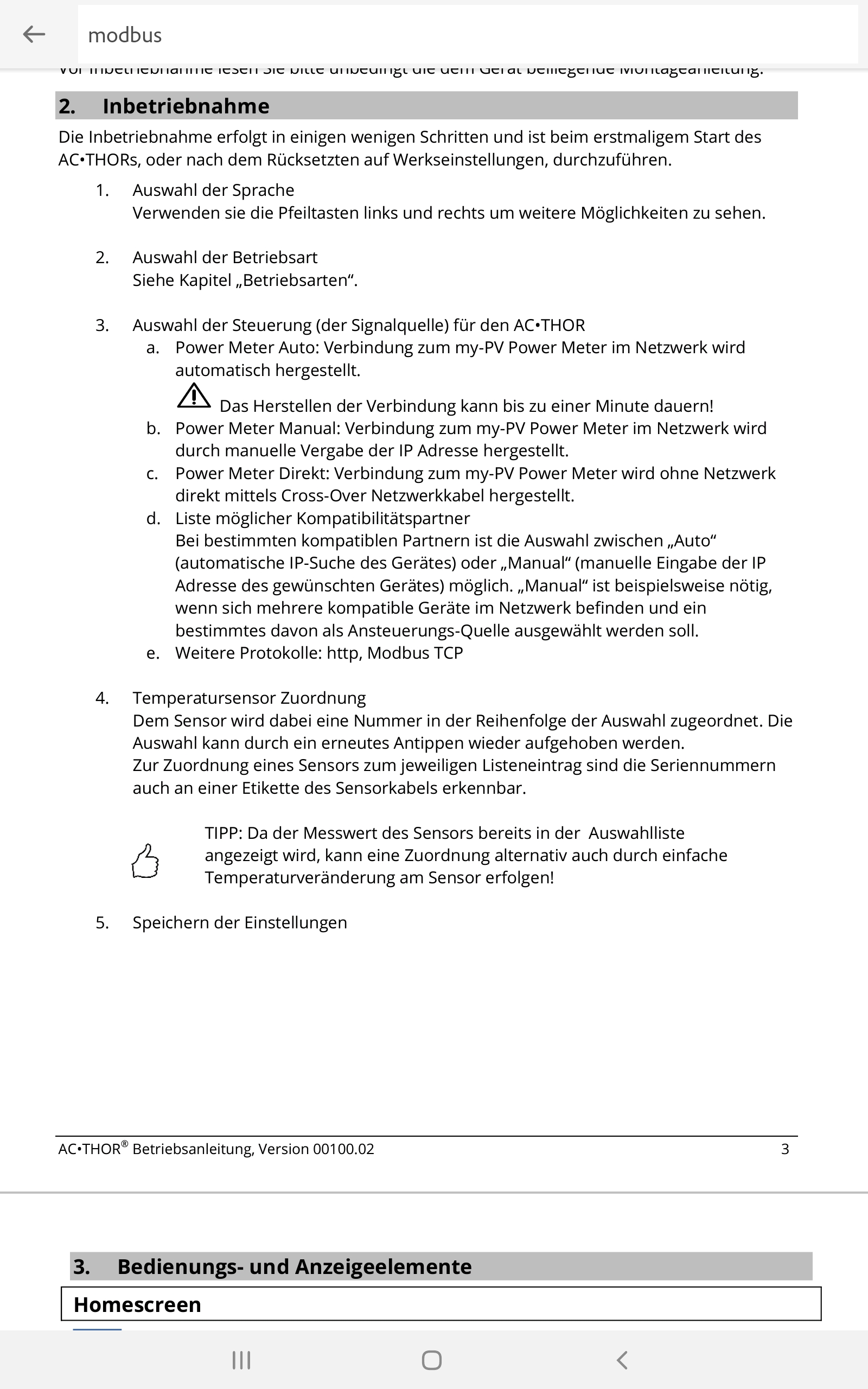
Noch was zum acthor: damit der funktioniert muss unter Einstellungen modbustcp eingestellt werden. (Punkt e)
Gruss Oliver
Entwickler- openWB (ehrenamtlich) / Feedback zu Funktionen immer erwünscht..
Smarthomeprobleme siehe hier (update
): viewtopic.php?f=14&t=5923
Smarthomeprobleme siehe hier (update